Kono Chem Co., Ltd. huwa wieħed mill-aqwa manifatturi u fornituri ta 'nystatin 1400-61-9 fiċ-Ċina. Aħna nilqgħu bi pjaċir li nistatin bl-ingrossa bl-ingrossa 1400-61-9 għall-bejgħ hawn mill-fabbrika tagħna. Il-prodotti kimiċi kollha huma ta 'kwalità għolja u prezz kompetittiv.
1.Introduzzjoni
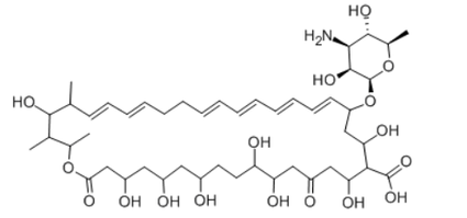
Nystatin huwa mediċina antifungali tal-poliene estratta mill-brodu tal-kultura ta 'Streptomyces noursei. Tikkonsisti prinċipalment fi tliet komponenti bijoattivi: Nystatin A1, A2, u A3. Ikkaratterizzat minn struttura makrolide tal-poliene konjugat, juri attività antifungali qawwija filwaqt li ma juri l-ebda effett inibitorju fuq il-batterja. Mill-iskoperta tiegħu fl-1950, Nystatin intuża ħafna fil-qasam tat-terapija antifungali.
Nistatin jidher bħala trab isfar jew isfar-kannella b'riħa u igroskopiċità karatteristika. Huwa kemmxejn solubbli fl-ilma, metanol u etanol, iżda ma jinħallx fl-aċetun, etere u kloroform. Notevolment, huwa instabbli taħt espożizzjoni għall-arja, dawl, sħana, ilma, aċidi, jew alkali, u jeħtieġ kontroll strett tal-kundizzjonijiet ambjentali waqt il-ħażna u l-użu.

2.Funzjoni
2.1. Mekkaniżmu Antifungali
Nystatin jeżerċita l-effett antifungali tiegħu billi jorbot speċifikament ma 'steroli (bħal ergosterol) fuq il-membrana taċ-ċelluli fungali. Dan l-irbit ibiddel il-permeabilità tal-membrana, li jwassal għat-tnixxija ta 'kontenut intraċellulari essenzjali, u b'hekk jinibixxi l-attività fungali u jikseb effett fungistatiku. F'konċentrazzjonijiet għoljin, jista 'anke jeżerċita effett funġiċida. Il-mekkaniżmu ta 'azzjoni tiegħu huwa simili għal dak ta' amphotericin B.
2.2. Spettru antifungali
Nystatin għandu spettru antifungali wiesa '. Juri l-ogħla attività antifungali kontra l-ġeneruCandida. Barra minn hekk, huwa effettiv kontraCryptococcus neoformans, Aspergillus, Trichophyton, Coccidioides, Histoplasma capsulatum, Blastomyces dermatitidis, dermatofiti,Mucor, uMicrosporum.

3.Applikazzjoni
3.1. Applikazzjonijiet Mediċi Kliniċi
(1) Trattament ta 'infezzjonijiet mukokutanji: Jintuża prinċipalment għat-trattament ta 'Candida albicansinfezzjonijiet li jinvolvu l-ġilda, membrani mukużi, kavità orali, intestini, u vaġina. Forom ta 'dożaġġ komuni jinkludu pilloli, suppożitorji, ingwenti, u sospensjonijiet. L-effett terapewtiku massimu normalment jinkiseb 24-72 siegħa wara l-għoti topiku. Nystatin ma jiġix assorbit mill-passaġġ gastrointestinali wara inġestjoni orali, u ma jiġix assorbit mill-ġilda jew membrani mukużi wara applikazzjoni topika; kważi d-doża kollha titneħħa fil-forma oriġinali tagħha fil-ħmieġ.
(2) Ġestjoni ta' infezzjonijiet oħra: Jista 'jintuża bħala aġent terapewtiku awżiljarju għal infezzjonijiet fungali profondi (bħalCryptococcus neoformanspnewmonja uMucorinfezzjoni) f'pazjenti immunokompromessi, inklużi dawk bl-AIDS u individwi fuq-terapija immunosoppressiva fit-tul.
3.2. Applikazzjonijiet għar-Riċerka Xjentifika
(1) Protezzjoni tal-kultura taċ-ċelluli: Iservi bħala addittiv antifungali fil-kultura taċ-ċelluli biex jipprevjeni l-kontaminazzjoni fungali, mingħajr l-ebda rakkomandazzjoni għall-{0}}pressjoni għolja jew sterilizzazzjoni tal-filtru.
(2) Regolament taċ-ċitokini: Bi proprjetajiet pro-infjammatorji qawwija, jinduċi espressjoni TLR2 fiċ-ċelloli THP1 u jippromwovi t-tnixxija taċ-ċitokini, li jaġixxi bħala għodda ewlenija għar-riċerka immuni u infjammatorja.
(3)Riċerka tal-bijofilm: Jaħdem bħala aġent li jifforma ergosterol-pori li jorbot-, li jifforma kanali tal-joni tan-nystatin/ergosterol f'saffi bi saffi tal-lipidi biex jappoġġjaw studji tal-istruttura u l-funzjoni tal-bijofilm.

4.Standard ta 'kwalità
| Dehra | Trab isfar/kannella-isfar b'riħa karatteristika u igroskopiċità qawwija |
| Solubilità | Solubbli fid-dimethylformamide |
| Identifikazzjoni |
Il-qċaċet massimu ta 'assorbiment f'291nm, 304nm, u 319nm; il-post prinċipali fil-kromatografija ta'-saff irqiq jaqbel mal-istandard ta' referenza |
| Valur pH | pH 6.5–8.0 (sospensjoni ppreparata b'kampjun ta' 30mg) |
| Telf fuq Tnixxif | Inqas minn jew ugwali għal 5.0% (vakwu-imnixxef f'60 grad għal 3 sigħat) |
| Residwu mat-Tqabbid | Inqas minn jew ugwali għal 4.0% |
| Sigurtà | Suspensjoni injettabbli (1200 unità/mL) tissodisfa r-rekwiżiti ta 'tossiċità anormali; limitu mikrobjali jikkonforma mal-istandards |
| Potenza | Iktar minn jew ugwali għal 4500 unità nistatina għal kull milligramma (ikkalkulat fuq bażi mnixxfa) |
| Ħtiġijiet tal-Ħażna | Issiġillat, maħżun f'kundizzjonijiet niexfa u ħfief-; ħajja fuq l-ixkaffa ta' sentejn |
5.Metodu ta 'Analiżi
MOA huwa disponibbli fuq talba.
6.Stabbiltà u Sigurtà
Stabbiltà:
Ħażna ssiġillata, niexfa u ħafifa-f'temperatura tal-kamra (15-30 grad) iżżomm l-effikaċja għal sentejn; soluzzjoni stokk (50mg/ml sospensjoni) maħżuna fi -20 grad hija stabbli għal użu fit-tul.
Sigurtà:
Tossiċità akuta baxxa; amministrazzjoni orali għandha assorbiment gastrointestinali fqir, kważi l-ebda tossiċità sistemika.
7.Proċess ta 'Manifattura
(1)Attivazzjoni u Espansjoni tar-Razza: Agħżel-rendiment għoliStreptomyces nourseirazez, jattiva fuq slants solidi, u jespandi l-kultura permezz ta 'kunjett ta' ħawwad u tankijiet taż-żerriegħa fi 28 grad, li jiżguraw sterilità u miċelja robusta.
(2)Fermentazzjoni fuq skala kbira -: Innokula likwidu taż-żerriegħa fil-fermentaturi, ipprepara medju bi trab tal-kejk tal-glukożju/fażola tas-sojja (sorsi tal-karbonju/nitroġenu) u melħ inorganiku. Kultura f'26-28 grad, pH 6.0-7.0 għal 5-7 ijiem b'arjazzjoni u tħawwad (ossiġnu maħlul: saturazzjoni 20-40%).
(3) Estrazzjoni u Purifikazzjoni: Iffiltra l-brodu tal-fermentazzjoni biex tneħħi l-impuritajiet, estratt nistatin b'solventi (eż., metanol), ippurifika permezz ta 'preċipitazzjoni u kromatografija tal-kolonna, imbagħad iffriżat-nixxef biex tikseb API ta' purità għolja-.
(4)Formulazzjoni u Kontroll tal-Kwalità: Ipproċessa API f'pilloli, suppożitorji, eċċ. Potenza tat-test (Akbar minn jew ugwali għal 4500 unità/mg) u limiti mikrobjali. Issiġilla u ppakkja f'kontenituri ħfief-wara li tgħaddi mill-ispezzjoni.
8.Kummenti tal-Klijent

9.Iċ-Ċertifikat tagħna

10.Il-klijenti tagħna

11.Wirjiet

It-tags Popolari: nistatin 1400-61-9, iċ-Ċina nistatin 1400-61-9 manifatturi, fornituri, fabbrika














